주제 설명
과학 세특 주제로 "카이랄성이 생체 내 약물 흡수 및 대사에 미치는 영향 탐구"를 알아보겠습니다. 인체 내 단백질, 효소 등이 카이랄 특성을 가지므로, 약물이 어떻게 상호작용하는지를 간단한 모형 실험(모형분자 조립 등)으로 탐색할 수 있습니다. 이와 같은 세특 주제는 약리학, 생화학, 구조화학 개념이 자연스럽게 연계되면서도 고등학생 수준에서 충분히 이해할 수 있는 심화 탐구 주제가 됩니다.
🧪 과학 탐구 보고서 (심화 예시)
1. 제목
카이랄성이 있는 약물과 생체 내 상호작용 비교 분석
2. 탐구 동기
최근 신약 개발에서 카이랄성의 개념이 매우 중요하게 다뤄진다는 사실을 알게 되었습니다. 약물은 몸속에서 수용체나 효소와 결합하여 효과를 나타내는데, 이때 **약물의 입체 구조(특히 카이랄성)**가 생체분자와의 결합 방식에 큰 영향을 준다고 합니다.
이 탐구를 통해, 약물의 카이랄성이 생체 내 상호작용에 어떤 차이를 만들며, 실제 약효나 부작용에 어떤 영향을 주는지를 구체적으로 알아보고자 합니다.
3. 탐구 내용
3-1. 핵심 개념 설명
카이랄성(Chirality)이란, 한 분자가 자신의 거울상과 겹치지 않는 성질입니다.. 중심 탄소에 4개의 서로 다른 치환기가 결합된 구조를 갖는 경우, 두 가지 거울상 이성질체(enantiomers)가 존재할 수 있습니다.
생체분자의 카이랄성에 관한 개념도 알아야 합니다. 우리 몸을 구성하는 단백질, DNA, 효소 등은 대부분 입체적 구조를 가진 카이랄성 분자입니다. 이 때문에 생체와 결합하는 약물도 특정 입체 구조(정확한 방향성)를 가져야 원하는 효과를 나타낼 수 있습니다.
수용체-약물 결합의 특이성에 대해 알아보겠습니다. 수용체는 특정 입체 구조를 가진 약물과만 정확히 결합합니다. 마치 자물쇠와 열쇠처럼, 약물이 구조가 조금만 달라도 결합이 어렵거나 다른 부작용이 나타날 수 있습니다.
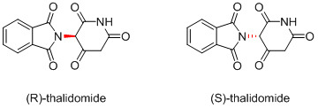
3-2. 대표적 사례 조사 및 분석약물명 이성질체 작용 차이 생체 내 상호작용 분석
탈리도마이드는 R형, S형의 이성질체 구조를 가지고 있습니다. R형은 진정 작용을 하지만, S형은 기형 유발할 수 있습니다. 생체 내 상호작용에 관하여, S형은 태아의 세포 성장 관련 단백질에 부정확하게 결합하여 세포 증식에 영향을 줄 수 있습니다.
프로프라놀롤(고혈압 치료제)은 S형만 베타 차단 작용을 하지만, R형은 거의 효과가 없습니다. 이는 β-수용체와의 결합력 차이가 존재하기 때문으로, 입체적 위치 불일치로 결합 불가능하기 때문입니다.
에스시탈로프람(항우울제)은 S형만 세로토닌 재흡수 억제 작용을 합니다. R형은 효과가 없거나 또는 부작용이 있습니다. 이는 S형만 SERT 단백질 수용체와 정확히 결합하기 때문입니다.
3-3. 탐구 활동 (모형 실험 및 구조 비교)
탐구의 목표는 카이랄 분자가 생체 수용체와 어떻게 다르게 결합하는지를 모형을 통해 시각적으로 이해하는 것입니다. 실험 준비물은 스티로폼 구슬, 철사, 플라스틱 접시, 모형판, 종이입니다.
실험 과정에 대해 설명하겠습니다. 우선 구슬로 두 이성질체(예: R형, S형) 모델을 제작합니다. 수용체 모형을 플라스틱판으로 만들고, 특정 구조(홈)를 넣습니다. 각 이성질체를 수용체 홈에 맞춰 넣어보며, 어떤 구조가 정확히 맞는지 비교해봅니다. 결합력이 높은 구조는 생체 수용체와의 결합 가능성이 높음을 시각적으로 설명
4. 탐구 결과 및 고찰
결과를 요약하자면, 카이랄성 분자는 동일한 분자식이라도 입체 구조 차이로 인해 생체 수용체와의 결합력에 차이를 보입니다. R형 또는 S형 중 특정 구조만 생체 수용체에 정확히 맞물리는 효과적인 작용을 나타냅니다. 부정확한 결합은 효능이 없거나 오히려 독성, 부작용을 유발할 수 있습니다.
우리 몸의 생체분자들은 카이랄 특이성을 갖고 있어, 입체 구조가 정확히 맞지 않으면 제대로 반응하지 않습니다. 카이랄성의 이해는 약물 설계뿐 아니라 개인 맞춤형 치료(Personalized Medicine)에도 중요한 역할을 합니다. 실제 약물 개발 시, 라세미 혼합물(racemic mixture)보다는 단일 이성질체를 사용하는 것이 안전하고 효과적이라는 고찰이 가능합니다.
5. 결론
이번 탐구를 통해 카이랄성 있는 약물과 생체 내 상호작용은 입체적 구조에 따라 매우 다르게 나타난다는 점을 확인했습니다. 이성질체의 구조에 따라 약물의 효능뿐 아니라 생체 수용체와의 결합 여부까지 달라질 수 있으므로, 신약 개발 및 약물 사용 시 카이랄성 고려는 필수적임을 알게 되었습니다. 향후 약대 진학 후에는 이와 같은 입체화학적 개념을 바탕으로 한 약물 설계에 참여하고 싶습니다.
6. 참고문헌
대한약학회 - 약물과 카이랄성 관련 정리 자료
Chirality and Drug Design, J. Med. Chem., 2020
PubChem – Propranolol, Escitalopram 등 구조 정보
고등학교 화학Ⅱ 교과서 (카이랄 중심과 입체 이성질체)
과학동아 2022년 10월호 – "약물 설계의 비밀, 손의 방향"
'과학 세특 주제' 카테고리의 다른 글
유전자 편집 기술의 질병 치료 응용과 한계, 윤리적 문제(CRISPR-Cas9) (0) | 2025.04.26 |
---|---|
천연 향균제 향균 효과 실험 (꿀, 마늘 추출물 등) (0) | 2025.04.26 |
진통제의 종류에 따른 효과 비교 실험 (아세트아미노펜, 이부프로펜, 아스피린) (0) | 2025.04.25 |
약물의 흡수율에 영향을 미치는 요인 연구 (0) | 2025.04.25 |
거울상 이성질체의 구조적 차이가 약물의 효과 및 부작용에 미치는 영향 (0) | 2025.04.24 |